

发表日期:2018-05-04 15:42文章编辑:国初科技浏览次数: 标签:
据高分子科学前沿微信公众平台2018年4月24日讯 全球气候变暖是当今人类社会面临的一大难题。根据美国环境保护机构(United States Environmental Protection Agency)的数据,二氧化碳占据了超过75%的温室气体排放比例。其中,发电厂和工业生产的贡献为46%。因此,二氧化碳的分离与捕获技术发展将大大降低温室气体排放带来的危害。
膜分离技术(membrane separation)是一项新兴的技术。相比于传统的氨吸收技术,膜分离技术能大大降低能耗,从而达到更绿色环保的需求。然而,在实际应用中,膜材料的微小损伤往往导致整个气体处理模块的故障。因此,研发出能够克服机械损伤,快速修复气体分离功能的高分子膜将大大延长气体分离膜的实用寿命,助益于气体分离膜领域的发展。同时能减少由于材料报废而造成的损失,从而带来良好的实用和经济效益。考虑到气体分子的尺寸均为埃米级别(A,10-10 m),要使膜材料在损伤后恢复气体分离功能,就需要达到埃米级别的自我修复能力。

图一、具有修复气体分离功能高分子膜
近期,美国橡树岭国家实验室(Oak Ridge National Laboratory)的曹鹏飞博士和斋藤治雄(Tomonori Saito)博士设计合成了一系列的超高延展性,自我修复能力的高分子橡胶膜,发表于《先进功能材料》杂志。该工作主要由研究助理李炳睿和博士生洪涛(现为美国国家能源技术实验室博士后)完成。如果一所示,高分子橡胶膜由支化聚二甲基硅氧烷(PDMS),线性PDMS和尿素在高温条件下由缩聚反应制备合成。

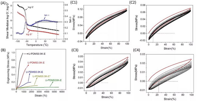
| 图二、(A) 样品U-PDMS5.0K-E的储能模量随温度变化曲线;(B) 样品的应力-应变曲线;(C) 样品C1:UPDMS0.9K-E, C2: U-PDMS3.0K-E, C3: U-PDMS5.0K-E, C4:U-PDMS30K-E的10次循环滞后曲线。 |
该材料具有超高延展性(应变从984% 到5600%)和较强的自修复能力,并且能在较宽的温度范围(tan>0.3)内作为缓冲材料使用(如图二(A))。如图二(B)所示,通过改变线性PDMS的分子量,可以调控所得高分子膜的杨氏模量,延展性和最高机械力。另外,我们可以看到所得高分子橡胶膜的弹性形变也可以通过PDMS的分子量进行调控(图二(C))。
图三、(A) 样品U-PDMS5.0K-E的自修复展示;(B) 高分子膜的起始气体透过率和破损并修复后的气体透过率。
在高分子
膜损伤之后,其机械性能,例如杨氏模量,延展性(图三(A)),可以在较短时间内完全恢复(室温120分钟,40摄氏度20分钟)。更为惊人的是,自修复后的高分子膜,对于气体分子的通过率和不同气体分子选择通过性与损伤之前近于相同(如图三(B))。考虑到气体分子的动力学直径均为埃米级别,从侧面证明了该样品在此尺寸下的自修复能力。同时,该膜材料基于PDMS,本身具有很高的渗透性和一定的选择性。我们相信,将此材料用于气体分离模块中,能得到很高的气体透过率(permeance)。同时,在局部模块受损的情况下,该高分子膜的自我修复能力可以大大降低因故障导致的损失,便于整个模块的快速修复。
参考文献:Peng-FeiCao,*Bingrui Li, TaoHong, Jacob Townsend, Zhe Qiang, Kunyue Xing, Konstantinos D. Vogiatzis,b Yangyang Wang, Alexei P. Sokolov, and Tomonori Saito.* Super-Stretchable, Self-Healing Polymeric Elastomers withTunable Properties. Advanced Functional Materials. doi.org/10.1002/adfm.201800741.